next up previous contents index
Next: Specification of pseudo atoms Up: Calculation of spatial restraints Previous: Calculation of spatial restraints   Contents   Index

Subsections

Specification of restraints

Static and dynamic restraints

Static restraints are read from the restraints file or are generated by the MAKE_RESTRAINTS command. All other restraints are dynamic restraints and are created on the fly; they currently include restraints on non-bonded atom pairs.


Formats of the restraints file

Restraints may be read from a restraints file in two formats, MODELLER or USER. The files in the MODELLER and USER formats have to begin with the lines 'MODELLER5 VERSION: MODELLER FORMAT' and 'MODELLER5 VERSION: USER FORMAT', respectively. In both formats, there is one entry per line. The format is free, except that the first character has to be at the beginning of the line. There are three different entry types in the MODELLER format:

R Form Modality Feature Group Numb_atoms Numb_parameters 0 Atom_indices Parameters
E Atom_index_1 Atom_index_2
P Pseudo_atom_index Pseudo_atom_type Numb_real_atoms Real_atom_indices

For example,

R    3   1   1   1   2   2   0  437   28       1.5000    0.1000
E    120 540
P    1   3   3    120 121 122

When the line starts with 'R', it contains a restraint, 'E' indicates a pair of atoms to be excluded from the calculation of the dynamic non-bonded pairs list, and 'P' indicates a pseudo atom definition (Section 2.5.2).

The USER format recognizes only the R entries. The fields of a line in the USER format are:

Id Form Modality Feature Group Numb_atoms Numb_parameters 0 Parameters Atom_ids

For example,

R   3  1  1  1  2  2  0    1.5000    0.1000   NH#:1:A    CA:2:A

The seven integer indices used to specify various restraint properties are listed in Tables 2.2-2.4. They are: Form specifies the mathematical form of the restraint. Modality should be viewed as the argument to Form. It specifies the number of single Gaussians in a poly-Gaussian pdf, periodicity $n$ of the cosine in the cosine potential, and the number of spline points for cubic splines. Only certain combinations of Form and Modality are possible. Any Feature can be used with any Form/Modality pair. Group or ``physical feature type'' groups restraints for reporting purposes in ENERGY, etc. The number of atoms and parameters for the restraint are specified by Numb_atoms and Numb_prms, respectively. The seventh integer index can be ignored. Atom_indices and Parameters have to match the hard-wired conventions. The format of the atom id is ATOM_NAME:RESIDUE_#[:CHAIN_ID], where ATOM_NAME is the four character IUPAC atom name as found in a PDB file, RESIDUE_# is a five character residue number as it occurs in the PDB file of a model, and the optional CHAIN_ID is the single character chain id as it occurs in the PDB file. For example, the carbonyl oxygen (O) in residue '10A' in chain 'A' is specified by 'O:10A:A'; if the chain has no chain id, the name would be only 'O:10A'.


Table 2.2: The parameters and their order in the restraint file are also given (Params above). $(\ldots)_n$ indicates that $(\ldots)$ is repeated $n$ times, where $n$ is specified by the second integer parameter of the restraint, modality (see above). Modality also defines periodicity of the cosine restraint, corresponding to parameter $n$ in Eq 5.56, and the number of interpolating points for the spline restraint (Eq. 5.69). Feature $f$ can generally be either a measure of solvent exposure (undocumented), a distance, an angle, or a dihedral angle, with the exception of restraint form 9 that only works with a pair of dihedral angles. The angle unit in the restraints file is radians. The internal angle unit of MODELLER is radians, too. Column 'Violation' defines the ``relative heavy violations'' used in PICK_HOT_ATOMS. For cubic splines, $f_{min}$ is the feature value that results in the smallest value of the restraint and $\sigma$ is the standard deviation of the Gaussian function fitted locally around $f_{min}$. The parameters $p_i$ for a spline restraint are: the scaling factor ($p_1$), the smallest value at which interpolation is done, $x_1$ ($p_2$), the largest interpolating value $x_n$ ($p_3$), the interval between interpolating points, $\Delta x$ ($p_4$), the first derivative at $x_1$ ($p_5$), the first derivative at $x_n$ ($p_6$). The following $n$ values are the values of the restraint at the interpolating $x_i$ points. The MODELLER-4 format has additional $n$ values, which are the second derivatives of the restraint at the interpolating $x_i$ points.
# Form Parameters Violation Reference
1 left Gaussian (harmonic lower bound) $\bar{f}, \sigma$ $(f-\bar{f})/\sigma$ Eq. 5.54
2 right Gaussian (harmonic upper bound) $\bar{f}, \sigma$ $(f-\bar{f})/\sigma$ Eq. 5.55
3 single Gaussian (harmonic potential) $\bar{f}, \sigma$ $(f-\bar{f})/\sigma$ Eq. 5.39
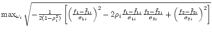
4 multiple Gaussian $(\omega_i)_n, (\bar{f}_i)_n, (\sigma_i)_n$ $\max_{\omega_i} (f-\bar{f}_i)/\sigma_i$ Eq. 5.50
5 Lennard-Jones potential $A, B$ 0.0 Eq. 5.62
6 Coulomb point-to-point potential $q_1, q_2$ 0.0 Eq. 5.59
7 Cosine potential $a,b$ $c$ Eq. 5.56
8 undefined
9 multiple binormal $(\omega_i)_n, (\bar{f}_{1i}, \bar{f}_{2i})_n, (\sigma_{1i}, \sigma_{2i})_n,(\rho)_n$ $\max_{\omega_i} \sqrt{
-\frac{1}{2 (1-\rho_i^2)}
\left[
\left(\frac{f_1-\bar...
...\sigma_{2i}} +
\left(\frac{f_2-\bar{f}_{2i}}{\sigma_{2i}}\right)^2
\right] } $ Eq. 5.50
10 cubic spline $p_i$, for $i=1, 6 + n$ $(f-f_{min})/\sigma$ Eq. 5.69



Table 2.3:

Index Feature
1 distance
2 angle
3 dihedral angle
4 a pair of dihedral angles (points 1-4 and 5-8)
5 distance between gravity centers of two groups of atoms
6 minimal distance between several pairs of atoms
7 atomic area exposed to solvent in $\mbox{\AA}^2$
8 number of neighbouring atoms




Table 2.4:

Index Group
1 Bond length potential
2 Bond angle potential
3 Stereochemical cosine dihedral potential
4 Stereochemical improper dihedral potential
5 soft-sphere overlap restraints
6 Lennard-Jones 6-12 potential
7 Coulomb point-point electrostatic potential
8 H-bonding potential
9 Distance restraints 1 (${C}_\alpha$-${C}_\alpha$)
10 Distance restraints 2 (N-O)
11 Mainchain $\Phi$ dihedral restraints
12 Mainchain $\Psi$ dihedral restraints
13 Mainchain $\omega$ dihedral restraints
14 Sidechain $\chi_1$ dihedral restraints
15 Sidechain $\chi_2$ dihedral restraints
16 Sidechain $\chi_3$ dihedral restraints
17 Sidechain $\chi_4$ dihedral restraints
18 Disulfide distance restraints
19 Disulfide angle restraints
20 Disulfide dihedral angle restraints
21 X lower bound distance restraints
22 X upper bound distance restraints
23 Distance restraints 3 (SDCH-MNCH)
24 Sidechain $\chi_5$ dihedral restraints
25 $(\Phi, \Psi)$ binomial dihedral restraints
26 Distance restraints 4 (SDCH-SDCH)
27 Distance restraints 5 (X-Y)
28 NMR distance restraints 6 (X-Y)
29 NMR distance restraints 7 (X-Y)
30 Minimal distance restraints
31 Non-bonded spline restraints
32 Atomic accessibility restraints
33 Atom density restraints




next up previous contents index
Next: Specification of pseudo atoms Up: Calculation of spatial restraints Previous: Calculation of spatial restraints   Contents   Index
Ben Webb 2004-04-20